Question 1 of 10

a, b, c (all positive) are the pth, qth, and rth terms of a geometric progression then

A
B
C
D
E

Question 2 of 10

Standard enthalpy and standard entropy change for the oxidation of {tex}NH_3{/tex} at 298 K, are {tex}-382.64 kJ mol^{-1}{/tex} and {tex}-145.6 J mol^{-1}{/tex} respectively. Standard Gibbs energy change for the same reaction at 298 K is :

A
B
C
D

Question 3 of 10

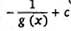
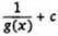
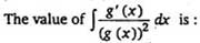
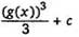
The rate of a First order reaction 0.04 {tex}mol^{-1} S^{-1}{/tex} at 10 seconds 0.03 {tex}mol^{-1} s^{-1}{/tex} at 20 seconds after intiation of reaction. The half life period of the reaction is

A
B
C
D

Question 4 of 10

A binary compound of elements X and Y contains 50% of X. If the atomic masses of X and Y are 10 and 20 and the molecular mass of the compound is 120, the molecular formula of the compound is

A
B
C
D

Question 5 of 10

Two thin metallic strips carrying current in the direction shown, cross each other perpendicularly without touching but being close to each other, as shown. The regions which contain some points of zero magnetic induction are:

A
B
C
D
E

Question 6 of 10

A flask was filled with {tex}CCl_4{/tex} vapours at a particular temperature and pressure. These vapours were then replaced by oxygen gas at the same temperature and pressure, the mass of {tex}CCl_4{/tex} vapours will be

A
B
C
D

Question 7 of 10

A spring of force constant k is cut into two pieces such that one piece is double the length of the other. The force constant of the longer piece will be

A
B
C
D
E

Question 8 of 10

Basic properties of {tex}TiO_2, ZrO_2{/tex} and {tex}HfO_2{/tex} are in the order:

A
B
C
D

Question 9 of 10

The two slits are 1 mm apart from each other and illuminated with a light of wavelength 5 x 10-7 m. If the distance of the screen is 1 m from the slits, then the distance between third dark fringe and fifth bright fringe is

A
B
C
D
E

Question 10 of 10

If α, β, γ are the angles made by a straight line with the coordinate axes, then sin2α+sin2β+sin2γ is

A
B
C
D
E
00
Hours
00
Minutes
00
Seconds